Menu

Chemical Synthesis

Home / Products / Chemicals / Chemical Synthesis
image
image
Showing 1–18 of 24 results
MERCK-SIGMA - QBD10907-100MG - Amino-dPEG®??-acid Chemical Synthesis
MERCK-SIGMA - QBD10908-100MG - m-dPEG®??-amine Chemical Synthesis
MERCK-SIGMA - QBD10909-100MG - m-dPEG®??-acid Chemical Synthesis
MERCK-SIGMA - QBD10910-100MG - m-dPEG®??-NHS ester Chemical Synthesis
MERCK-SIGMA - QBD10918-100MG - m-dPEG®??-amine Chemical Synthesis
MERCK-SIGMA - QBD10931-100MG - m-dPEG®??-MAL Chemical Synthesis
MERCK-SIGMA - QBD10932-100MG - m-dPEG®??-MAL Chemical Synthesis
MERCK-SIGMA - QBD10954-100MG - Bis-dPEG®??-NHS ester Chemical Synthesis
MERCK-SIGMA - QBD11028-100MG - MAL-dPEG ®??-DSPE Chemical Synthesis
MERCK-SIGMA - QBD11086-1000MG - m-dPEG ®??-NHS ester Chemical Synthesis
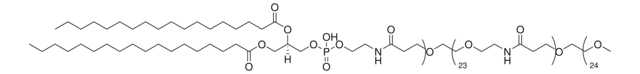
MERCK-SIGMA - QBD11094-25MG - m-dPEG®??-amido-dPEG®??-DSPE Chemical Synthesis
MERCK-SIGMA - QBD11095-100MG - m-dPEG ®??-amido-dPEG ®??-DSPE Chemical Synthesis
MERCK-SIGMA - QBD11100-50MG - Biotin-dPEG®?-oxyamine HCl Chemical Synthesis
MERCK-SIGMA - QBD11102-50MG - Biotin-dPEG®??-oxyamine HCl Chemical Synthesis
MERCK-SIGMA - QBD11135-100MG - Phthalimidooxy-dPEG®??-NHS ester Chemical Synthesis
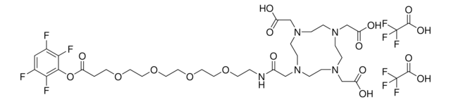
MERCK-SIGMA - QBD11158-100MG - DOTA-tris(TBE)-amido-dPEG ®??-TFP ester Chemical Synthesis
MERCK-SIGMA - QBD11160-100MG - DOTA-tris(acid)-amido-dPEG ®?-TFP ester Chemical Synthesis
MERCK-SIGMA - QBD11162-100MG - DOTA-tris(acid)-amido-dPEG ®??-TFP ester Chemical Synthesis
MERCK-SIGMA - QBD11204-100MG - Bromoacetamido-dPEG ®??-azide Chemical Synthesis
MERCK-SIGMA - QBD11217-100MG - Bromoacetamido-dPEG ®?-azide Chemical Synthesis
jaleel Manager Chat
ali Designer Chat
mohsin Developer Chat
Cart (0)

Your Cart is empty