Menu

Isotopes

image
image
Showing 1–18 of 24 results
MERCK-SIGMA - 485543-500MG - ??-Alanine-¹³C? Isotopes
MERCK-SIGMA - 485551-5G - Benzaldehyde-d? Isotopes
MERCK-SIGMA - 485594-1G - ??-Valine-1-¹³C Isotopes
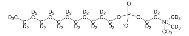
MERCK-SIGMA - 485616-500MG - Dodecylphosphorylcholine-d?? Isotopes
MERCK-SIGMA - 485632-100MG - Benzene-¹³C Isotopes
MERCK-SIGMA - 485659-500MG - Ethyl acetoacetate-2,4-¹³C? Isotopes
MERCK-SIGMA - 485675-5G - Ethyl-d?-amine hydrochloride Isotopes
MERCK-SIGMA - 485683-5G - Formamide-d? Isotopes
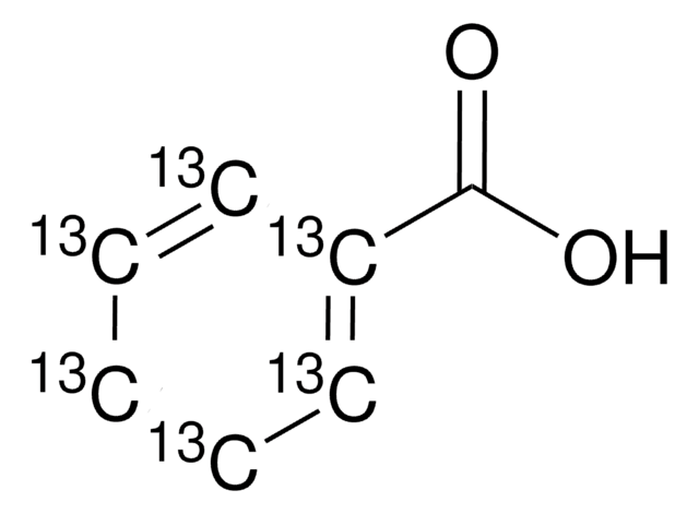
MERCK-SIGMA - 485691-500MG - Benzoic acid-(phenyl-¹³C?) Isotopes
MERCK-SIGMA - 485705-5G - Formic-d acid Isotopes
MERCK-SIGMA - 485756-1G - Fmoc-Gly-OH-¹?N Isotopes
MERCK-SIGMA - 485764-5G - Benzyl-2,3,4,5,6-d? chloride Isotopes
MERCK-SIGMA - 485772-1G - Fmoc-Gly-OH-2,2-d? Isotopes
MERCK-SIGMA - 485799-100MG - Hexadecane-1,2-¹³C? Isotopes
MERCK-SIGMA - 485802-500MG - Palmitic acid-1,2-¹³C? Isotopes
MERCK-SIGMA - 485810-5G - Bromoethane-1,1-d? Isotopes
MERCK-SIGMA - 485845-1G - ?-Alanine-2,3,3,3-d? Isotopes
MERCK-SIGMA - 485853-250MG - ?-Alanine-2-¹³C,¹?N Isotopes
MERCK-SIGMA - 485861-1G - ?-Alanine-2-d Isotopes
MERCK-SIGMA - 485888-1G - Fmoc-Ala-OH-3,3,3-d? Isotopes
jaleel Manager Chat
ali Designer Chat
mohsin Developer Chat
Cart (0)

Your Cart is empty