Menu
Search Summary

Keyword: 129-17-9

Search Results for: "129-17-9"

Related terms: 129-17-9

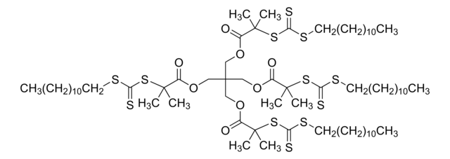
MERCK-SIGMA - 763551-1G - Pentaerythritol tetrakis[2-(dodecylthiocarbonothioylthio)-2-methylpropionate] Materials Science
MERCK-SIGMA - 198188-5G - 1,5-Hexanediol Chemical Synthesis
jaleel Manager Chat
ali Designer Chat
mohsin Developer Chat
Cart (0)

Your Cart is empty