Menu
Search Summary

Keyword: 26616-35-3

Search Results for: "26616-35-3"

Related terms: 26616-35-3

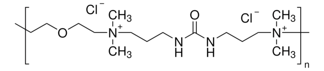
MERCK-SIGMA - 458627-100ML - Poly[bis(2-chloroethyl) ether-alt-1,3-bis[3-(dimethylamino)propyl]urea] quaternized, solution Materials Science
MERCK-SIGMA - 458694-100G - (Vinylbenzyl)trimethylammonium chloride Materials Science
jaleel Manager Chat
ali Designer Chat
mohsin Developer Chat
Cart (0)

Your Cart is empty