Menu
Search Summary

Keyword: 36861-47-9

Search Results for: "36861-47-9"

Related terms: 36861-47-9

MERCK-SIGMA - 615404-5G - Chloroacetic acid-d? Isotopes
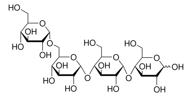
MERCK-SIGMA - 78544-1MG - Glucose tetrasaccharide Bio Specialties
jaleel Manager Chat
ali Designer Chat
mohsin Developer Chat
Cart (0)

Your Cart is empty