Menu
Search Summary

Keyword: 491-35-0

Search Results for: "491-35-0"

Related terms: 491-35-0

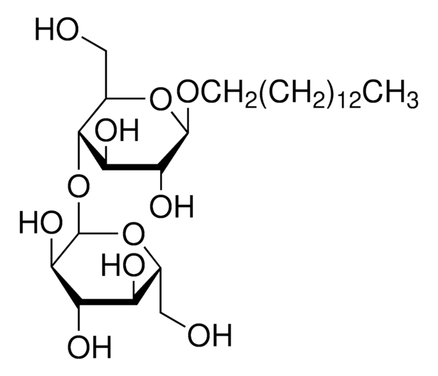
MERCK-SIGMA - 15826-1G - Tetradecyl-?-?-maltoside Bio Specialties
MERCK-SIGMA - 158283-100G - Lepidine Chemical Synthesis
jaleel Manager Chat
ali Designer Chat
mohsin Developer Chat
Cart (0)

Your Cart is empty