Menu
Search Summary

Keyword: 58-33-3

Search Results for: "58-33-3"

Related terms: 58-33-3

MERCK-SIGMA - Y0000796 - Fluorescein Standards & Reference Material
MERCK-SIGMA - PHR1465-500MG - Pantolactone Standards & Reference Material
MERCK-SIGMA - P4649-1VL - Phosphorylase b from rabbit muscle Bio Specialties
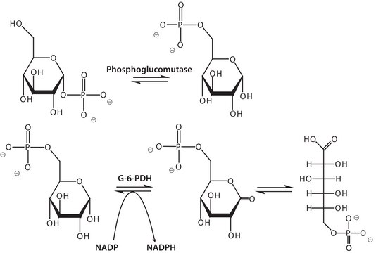
MERCK-SIGMA - P3397-500UN - Phosphoglucomutase from rabbit muscle Bio Specialties
jaleel Manager Chat
ali Designer Chat
mohsin Developer Chat
Cart (0)

Your Cart is empty